解析强迫型人格障碍(OCPD)内疚相关人际功能的异常
强迫型人格障碍(obsessive-compulsive personality disorder, OCPD),是DSM-IV和DSM-V所列10种人格障碍中最常见的一种,主要表现为人际功能损害和亲社会行为缺失。目前针对该障碍的治疗手段成效有限,理解其人际功能相关症状的发生机制、建立针对性临床治疗手段至关重要。
内疚情绪作为重要的道德情绪,是人类亲社会行为的重要动因,是人类维护人际关系的重要基础。一方面,预期的内疚情绪有助于促进个体的合作行为。例如,为了避免由潜在不道德行为所带来的内疚情绪,人们往往倾向于选择合作,而不倾向于去做伤害他人或集体的事情。另一方面,个体在伤害他人或违反社会准则时通常会体验到内疚情绪,进而做出补偿行为,以修复人际关系。
那么,OCPD群体人际功能的损害是否来源于其内疚相关反应的缺失呢?关于这一问题,学界争议许久。一些学者认为,OCPD群体存在共情缺失,而共情是内疚情绪产生的基础,因此OCPD群体内疚相关反应可能存在缺失。另一部分学者则认为,OCPD群体与强迫症(obsessive-compulsive disorder, OCD)群体具有诸多共性,并经常被认为是强迫症谱系的候选成员。因此与OCD典型的内疚增强症状类似,OCPD群体的内疚相关反应可能比正常群体更强。
2022年9月6日,437必赢会员中心紫江青年学者高晓雪研究员、院长周晓林教授与中南大学湘雅二医院医学心理中心王湘教授团队合作,在心理学和精神病学领域重要刊物 Psychological Medicine(IF = 10.59)上发表了题为“Understanding guilt-related interpersonal dysfunction in obsessive-compulsive personality disorder through computational modeling of two social interaction tasks”的论文。该项工作应用高晓雪研究员和周晓林教授团队前期研究(PNAS, 2018;NeuroImage, 2021)所开发的研究范式和计算模型,定量解析了OCPD群体亲社会行为背后的不同动机,发现该群体内疚情绪异常是其亲社会行为异常的关键。

图1. 人际互动范式流程图。(a)基于信任游戏的内疚厌恶任务收益矩阵示例;(b)基于信任游戏的内疚厌恶任务流程图;(c)内疚-补偿任务流程图。
本研究首先通过基于信任游戏的内疚厌恶任务(Nihonsugi et al., 2015),从预期的内疚情绪促进合作行为这一角度,考察了OCPD群体与正常对照组之间的差异。在该任务中(图1, a-b),被试(被投资者B)面对投资者A的投资和期待,决定是否“合作”以取得双赢,亦或是“背叛”以最大化个人利益并导致投资者损失。在面对A的合作期待时,被试如果选择背叛,则可能会产生内疚情绪;为了避免这一预期的内疚情绪,被试需要权衡个人利益和对预期内疚的厌恶,进而做出最终决定。应用计算建模手段拟合被试在决策中对预期内疚的厌恶程度(参数γ),结果发现,相比于正常组,OCPD群体的内疚厌恶程度更低,即预期的内疚情绪对其合作行为的促进作用更小(图2)。

图2. 基于信任游戏的内疚厌恶任务结果。(a)内疚厌恶参数与被试的合作率呈显著正相关,说明预期的内疚情绪有助于促进合作行为;(b)相比于正常组,OCPD群体的内疚厌恶程度更小,即预期的内疚情绪对其合作行为的促进作用更小。
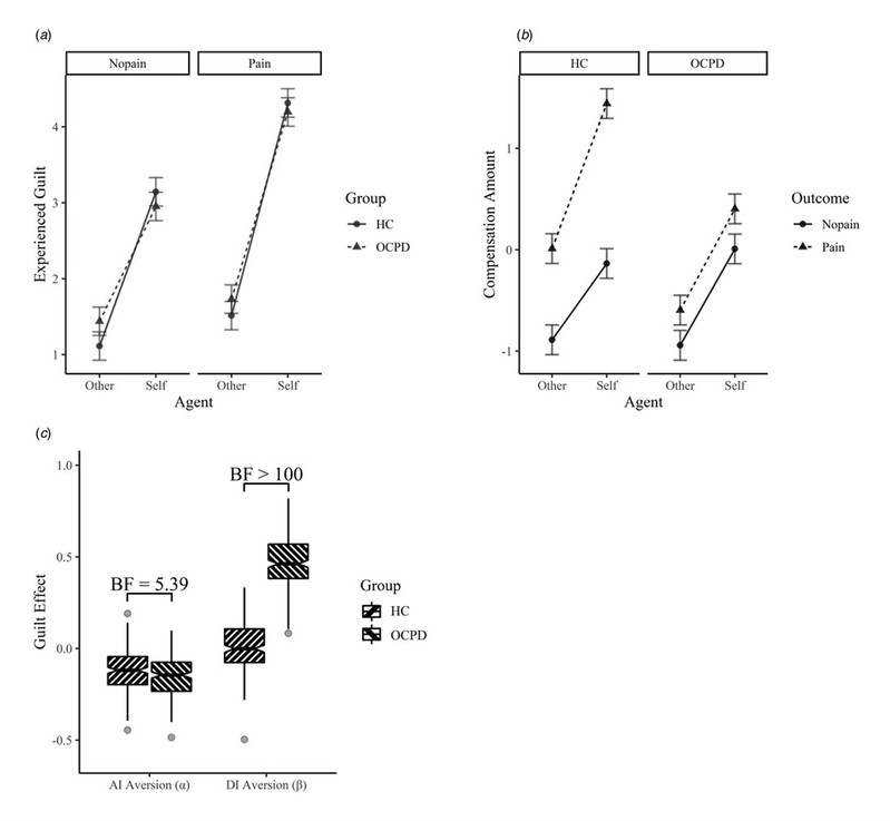
进一步,本研究通过内疚-补偿任务(Gao et al., 2018),从体验的内疚情绪促进补偿行为这一角度,考察了OCPD群体与正常对照组之间的差异。在该任务中(图1c),每一轮游戏被试与一名匿名参与者配对,被试或配对参与者进行一个点数估计任务。任何一方任务的失败都会导致本轮配对参与者有50%几率接受疼痛刺激。在每一轮的最后,被试在不为对方所知的情况下决定自己与配对参与者的金钱奖励(即金钱补偿的机会)。实验后,被试回忆并主观报告在各条件下的内疚体验。结果发现,OCPD群体主观报告的内疚情绪体验与正常群体并无显著差异,且两个群体均在自己做错导致他人疼痛的条件下报告了更强的内疚体验(图3a)。在补偿行为方面,结果发现,在被试自己做错导致他人疼痛的条件下,OCPD群体的补偿行为相比于正常组显著减少。进一步计算建模结果发现,这一补偿行为的减少主要是由于OCPD群体体验到内疚后对劣势不公平厌恶的抑制能力较弱,对他人更多的收益仍然感到厌恶,因此无法作出适当的补偿。

图3. 内疚-补偿结果。(a)OCPD群体主观报告的内疚情绪体验与正常组不存在显著差异;(b)相比于正常组,OCPD群体验到内疚后的补偿行为较少;(c)相比于正常组,OCPD群体体验到内疚后对劣势不公平厌恶的抑制能力较弱。
以上结果从预期的内疚情绪对合作行为的影响和体验的内疚情绪对补偿行为的影响两方面说明,相比于正常人,OCPD群体预期的内疚情绪和体验到的内疚情绪对其亲社会行为的促进作用显著减弱,导致其无法依据社会规范适时调整自身行为。
值得注意的是,内疚情绪增强是强迫症群体OCD的典型特征。以往临床理论认为,OCPD与OCD具有诸多共性,OCPD是强迫症谱系的候选成员。本研究虽然没有直接对比OCPD和OCD这两个群体,但结果首次表明,OCPD群体与OCD群体在内疚情绪相关的反应上可能存在本质差异,该差异可能是两种障碍针对性临床诊断和治疗的关键。
该项工作得到了国家自然科学基金(31900798, 31671144)、上海市科技计划项目资助(20dz2260300)和中央高校基本科研业务费专项资金、湖南省自然科学基金会(2019JJ40362)和湖南省教育委员会研究基金(2017jy77)的资助。高晓雪研究员得到了中国科协青年人才“托举工程”(2021QNRC001)的支持。
论文信息(通讯作者#):
Xiao, F., Zhao, J., Fan, L., Ji, X., Fang, S., Zhang, P., Kong, X., Liu, Q., Yu, H., Zhou, X., Gao, X. #& Wang, X. #. (2022). Understanding Interpersonal Dysfunction in Obsessive-Compulsive Personality Disorder Through Computational Modeling of Two Social Interaction Tasks. Psychological Medicine. online published..doi:10.1017/S003329172200277X.
高晓雪,现任437必赢会员中心研究员,紫江青年学者,入选中国科协青年人才“托举工程”。2013年毕业于山东大学海洋学院(威海),获得生物技术专业理学学士学位。2019年1月毕业于北京大学437必赢会员中心,获得基础心理学专业博士学位。期间曾前往美国Dartmouth College心理与脑科学系进行交流访问。2019年1月至2021年4月,于北京大学437必赢会员中心从事博士后研究工作。近年来,高晓雪研究员致力于社会认知神经科学研究,结合行为范式、计算建模、神经科学手段(fMRI等)等多种研究方法,探究人类社会情绪(如感激、内疚等)及相关社会决策(如不公平厌恶)的认知神经机制。2018年的一项研究率先揭示了人类优势和劣势不公平厌恶差异性的认知神经机制(Gao et al., 2018, PNAS)。同年,另一项研究揭示了不同认知信息加工、整合进而产生感激情绪的神经机制(Yu et al., 2018, Journal of Neuroscience, 共同一作)。2020年,高晓雪研究员作为通讯作者的研究进一步揭示了帮助代价不确定性调节受助者感激情绪的认知神经机制(Xiong et al., 2020, Neuroimage, 共同一作和通讯作者)。2021年,高晓雪研究员的研究进一步揭示了受害方态度反馈影响伤害方社会情绪反应的认知神经机制(Gao et al., 2021, Neuroimage)。论文详细信息如下(*共同一作,#通讯作者):
Gao, X.*, Yu, H.*, Saez, I., Blue, P., Zhu, L., Hsu, M., & Zhou, X#. (2018). Distinguishing neural correlates of context-dependent advantageous- and disadvantageous-inequity aversion. Proceedings of the National Academy of Sciences, 115(33), E7680-E7689.
Yu, H.*, Gao, X.*, Zhou, Y., & Zhou, X#. (2018). Decomposing gratitude: representation and integration of cognitive antecedents of gratitude in the brain. Journal of Neuroscience, 2944-2917.
Xiong, W.*, Gao, X.* #, He, Z., Yu, H., Liu, H., & Zhou, X#. (2020). Affective evaluation of others’ altruistic decisions under risk and ambiguity. Neuroimage, 218, 116996.
Gao, X.#*, Yu, H. #*, Peng, L., Gong, X., Xiang, Y., Jiang, C., & Zhou, X#. (2021). The mutuality of social emotions: How the victim's reactive attitude influences the transgressor's emotional responses. Neuroimage, 244, 118631.
