基于大脑白质高信号的脑年龄模型反应神经老年人神经血管健康状况
如同脸上的皱纹一样,随着年龄增长,大脑也会发生如灰白质萎缩等老化现象,并可反映在磁共振图像中。其中,大脑白质高信号属于一种磁共振图像中肉眼可见的常见脑白质老化表征。这种特征在磁共振T2权重影像中表现为高信号,临床通常采用水抑制的T2权重扫描序列(T2-FLAIR)突出其对比性以利临床判读(图1)。白质高信号被认为是起源于白质损伤,发生损伤的原因主要为神经血管功能退化包括髓鞘或轴突丢失、组织稀疏、神经胶质增生、短暂脑梗或大脑血流长期低灌注。白质损伤不仅影响灰质间神经纤维的沟通效率,更被证实为认知障碍、抑郁甚至痴呆症的关键风险因子。

图1、脑白质损伤在临床常用的磁共振图像显而易见,如图中红色箭头标示的即为异常大脑白质信号位置。在T2权重序列中呈现高信号,在T1权重影像上呈现异常低信号。
尽管白质损伤对大脑的影响近二十年来已经广泛被研究,但在医学检查中,临床医生往往会告知这种特征普遍存在于60岁以上的人群,并会随着年龄呈现上升趋势,让对方不用太过于紧张,且对于有此类特征的个体通常给予控制血压、注意心血管疾病和动脉硬化等患病风险的建议。然而,由于目前临床并不存在一套客观的评估标准,大多依赖神经内科或影像诊断科医生的个人经验判断,因此很难給出一个客观的严重程度判定。值得注意的是,大脑的老化过程如同我们的外表,具有非常高的个体异质性。同样实足年龄的个体大脑老化的程度可能天差地别,比如有些50岁成年人大脑看起来像70岁,而有些70岁的老年人看起来像40岁。如同脸上的皱纹、皮肤上的斑点。究竟白质损伤在一个人的某个年纪,多少是多?多少是少?仍然是一个缺乏研究的问题。
为回答此问题,437必赢会员中心黄楚中副教授及其合作者团队在高龄医学顶级期刊Age and Ageing (5-year IF: 8.222, 2021 IF: 10.668)在线发表题为“Brain white matter hyperintensities-predicted age reflects neurovascular health in middle-to-old aged subjects”的研究论文。
该论文基于491位认知正常,无原发性疾病的跨毕生周期成年人群体(21-89岁)进行白质损伤的定量分析,并进一步根据黄楚中副教授2018年在Neurobiology of Aging发表的研究成果(doi.org/10.1016/j.neurobiolaging.2018.03.012),将白质损伤区分为脑室周围白质损伤量(PVWMH)及脑深部白质损伤量(DWMH)进行脑神经血管年龄预测建模,提出了基于大脑白质损伤量的简单线性预测模型。该训练模型的平均绝对误差(MAE)为7.76岁,而利用726位中老年人(50-92岁)的队列数据进行模型测试结果发现平均绝对误差为6.38岁(图2)。

图2、线性回归预测模型在训练和测试数据集上的表现。
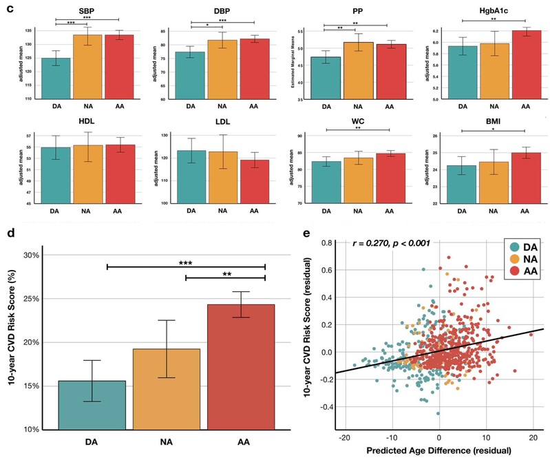
本研究发现,个体的脑神经血管年龄与真实年龄差异越大视觉执行功能表现较差,且与较低的语言记忆(CVVLT)功能呈现边缘性的相关。此外,利用训练模型的回归线将测试人群进一步划分成延缓老化、正常老化以及加速老化三组后发现,男性、高血压或糖尿病群体的大脑年龄更倾向于被划分为加速老化组(图3),并且相较于延缓老化组,加速老化组在常见的心血管风险指标上如舒张压、收缩压、脉搏压、糖化血红蛋白、腰围以及身体质量指数都更高,而正常老化组在这些数值上居中。支持了低心血管健康状态对大脑白质老化特征的显著影响。此外,加速老化组人群10年内罹患心血管疾病风险(Framingham Heart study-cardiovascular risk score)约为24%,较正常老化组高5%,相比延缓老化组则高了近8%。支持了本研究提出脑神经血管年龄预测的临床价值(图4)。

图3、基于健康成年人训练模型将测试队列分为三种老化特征人群

图4、三种老化人群的心血管健康状况差异以及与10年心血管疾病风险相关性
综上所述,本研究建立了一种独立于个体实足年龄的脑白质损伤量评估方法,该模型基于一个简单的线性回归方法,相对容易获得和解释,利用该模型预测的脑神经血管年龄可以反映一个人的白质损伤量是否超过了同年龄的健康群体平均值,进而评估个体当下心血管健康状态。这种测量模型具有在临床和研究中用于病人分群的应用潜力,并可作为诊断年龄相关神经血管疾病的新指标。
437必赢会员中心黄楚中副教授为本文的第一作者,中国台湾的台北荣民总医院神经内科钟芷萍主治医师及阳明交通大学林庆波教授为共同通讯作者。
论文信息:
Huang, C., Chou,K., Lee,W., Yang, A., Tsai,S., Chen,L., Chung,C.*, Lin, C*.(2022). Brain white matter hyperintensities-predicted age reflects neurovascular health in middle-to-old aged subjects. Age and Ageing. online published. doi: 10.1093/ageing/afac106.
图文:黄楚中、张一鸣
